加入金
- [更新日:]
- ID:99
加入金は、新しく建物を建てる場合や、水道メーターの口径を大きくする工事を行う場合など、給水装置工事のお申し込みの際にお支払いいただくものです。
加入金は次の場合に必要です。
- 新しく水道を利用するために、給水装置工事を申し込むとき。
- 水道メーターの口径を大きくしたり、改造工事等を申し込むとき。
| メーターの口径 | 金額(1か所につき) |
|---|---|
| 13ミリメートル | 146,000円 |
| 20ミリメートル | 222,000円 |
| 25ミリメートル | 355,000円 |
| 30ミリメートル | 527,000円 |
| 40ミリメートル | 969,000円 |
| 50ミリメートル | 1,559,000円 |
| 75ミリメートル | 3,730,000円 |
| 100ミリメートル | 6,814,000円 |
| 150ミリメートル | 15,944,000円 |
| 200ミリメートル | 29,291,000円 |
※上記の金額に消費税(10%)を加算。
※統合(企業団への移行)後の単価を適用すれば統合前と比べて加入金の額が上がる場合は、給水装置工事を行おうとする市町村の統合前の単価を適用する経過措置を講じています。(統合後5年間、令和12年3月まで)
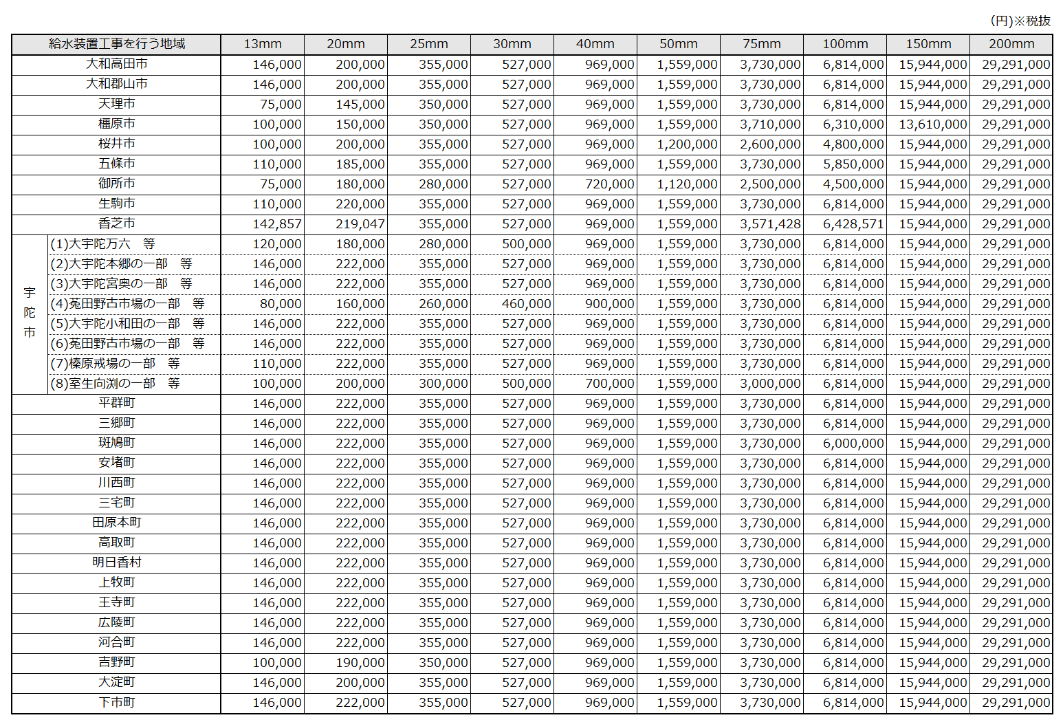
給水装置工事を行う地域ごとの経過措置期間中の加入金一覧

※上記の金額に消費税(10%)を加算。
※増設または改造の場合にお支払いいただく加入金は、増設または改造後のメーター口径に対応する上表の金額から、増設または改造前のメーターの口径に対応する上表の金額を差し引いた額となります。
問い合わせ先
給水装置工事を行おうとする市町村の事務所へお問い合わせください。
ソーシャルサイトへのリンクは別ウィンドウで開きます

検索